Εκ νέου λήψη απόφασης από τη Δημοτική Επιτροπή και το Δημοτικό Συμβούλιο για τα τέλη καθαριότητας-φωτισμού
Επαναεισάγεται στη Δημοτική Επιτροπή του Δήμου Λευκάδας, και στη συνέχεια στο Δημοτικό Συμβούλιο, ως προ Ημερησίας Διάταξης Θέμα «ο καθορισμός των τελών καθαριότητας – φωτισμού για το έτος 2025», ένα θέμα για το οποίο είχε ληφθεί απόφαση από το Δημοτικό Συμβούλιο στη συνεδρίαση της Παρασκευής 14 Φλεβάρη. (Δες εδώ την απόφαση).
Επί της ουσίας δεν αλλάζει κάτι σε σχέση με την προηγούμενη απόφαση του Δημοτικού Συμβουλίου. Ο λόγος της εκ νέου λήψης απόφασης είναι ότι στην προηγούμενη απόφαση του Δημοτικού Συμβουλίου δεν ορίζεται συντελεστής τέλους καθαριότητας και ηλεκτροφωτισμού για ακίνητα που χρησιμοποιούνται για κοινωφελείς, μη κερδοσκοπικούς και φιλανθρωπικούς σκοπούς.
Α) Ακίνητα που χρησιμοποιούνται αποκλειστικά για κατοικία
Β) Ακίνητα που χρησιμοποιούνται για κοινωφελείς, μη κερδοσκοπικούς και φιλανθρωπικούς σκοπούς καθορίζεται το τέλος καθαριότητας και ηλεκτροφωτισμού σε 1,00 ευρώ ανά τμ.
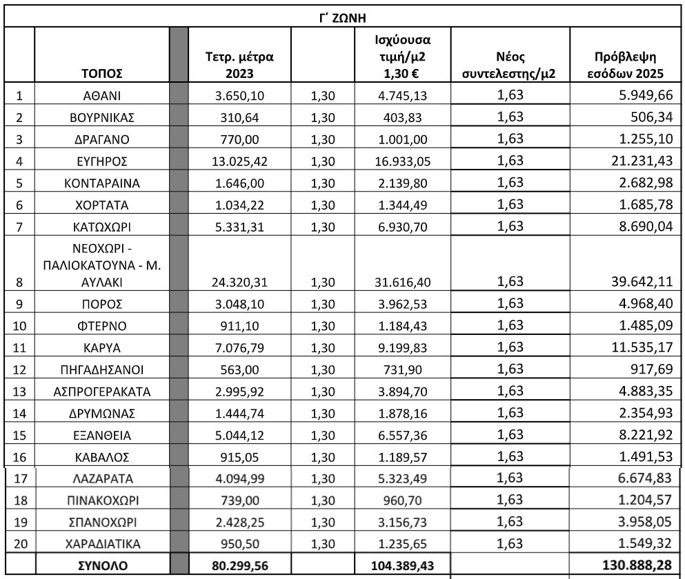
Γ) Ακίνητα που χρησιμοποιούνται για την άσκηση πάσης φύσης οικονομικής δραστηριότητας

































































![[385261] ELITE LEAGUE 2025-2026 / ΠΑΝΕΡΥΘΡΑΙΚΟΣ ΑΣ - ΑΕ ΔΟΞΑ ΛΕΥΚΑΔΑΣ (ΜΙΧΑΛΗΣ ΚΑΡΑΓΙΑΝΝΗΣ / EUROKINISSI)](https://www.kolivas.de/wp-content/uploads/2026/03/6883077-50x50.jpg)















